Autómata Finito Determinista
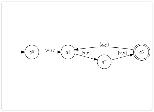
Con el lenguaje del alfabeto {x, y}, que valide las cadenas que tengan un largo múltiplo de 3. Ver Gramatica
Cadena {{resultado.cadena}}
| Simbolo | Estado | Resultado |
|---|---|---|
| {{linea.simbolo}} | {{linea.estado}} | {{linea.resultado}} ![]() |
Con el lenguaje del alfabeto {x, y}, que valide las cadenas que tengan un largo múltiplo de 3. Ver Gramatica
| Simbolo | Estado | Resultado |
|---|---|---|
| {{linea.simbolo}} | {{linea.estado}} | {{linea.resultado}} ![]() |